ГОСТ Р 53081-2008: Вибрация. Оценка воздействия локальной вибрации по данным о вибрационной активности машин

Обозначение: ГОСТ Р 53081-2008
Категория: База строительной документации

1 2 3 4 5 6 ... 25
Страницы и текст этой инструкции

Вибрация. Оценка воздействия локальной вибрации по данным о вибрационной активности машин

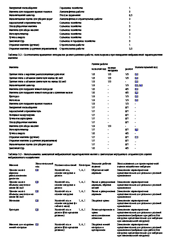
Информация отображена на картинке

Информация отображена на картинке

Информация отображена на картинке

Информация отображена на картинке


Как использовать наш сайт инструкций OnlineManuals.ru
Наша цель состоит в том, чтобы предоставить вам быстрый доступ к содержанию документа Вибрация. Оценка воздействия локальной вибрации по данным о вибрационной активности машин.

Для Вашего удобства
Если листать документ прямо на сайте, не очень удобно для Вас, есть два возможных решения:

• Просмотр в полноэкранном режиме - легко просмотреть документ Вибрация. Оценка воздействия локальной вибрации по данным о вибрационной активности машин (без загрузки его на свой компьютер). Вы можете использовать режим полноэкранного просмотра, используйте кнопку «Открыть в Pdf-viewer».
• Загрузка на компьютер - Вы можете также скачать Вибрация. Оценка воздействия локальной вибрации по данным о вибрационной активности машин на свой компьютер и сохранить его в файлах.

Многие люди предпочитают читать документы не на экране, а в печатной версии. Возможность печати руководства пользователя также была предусмотрена на нашем сайте, и вы можете использовать ее, нажав на иконку «печать» в Pdf-viewer. Нет необходимости печатать все страницы, можно выбрать только нужные страницы документа.

Onlinemanuals.ru

Загрузить инструкцию