РД 08-22-2000: Типовая программа целевой инспекции физической инвентаризации ядерных материалов на ядерных установках по производству топлива

Обозначение: РД 08-22-2000
Категория: База строительной документации

1 2 3 4 5 6 ... 7
Страницы и текст этой инструкции

Типовая программа целевой инспекции физической инвентаризации ядерных материалов на ядерных установках по производству топлива

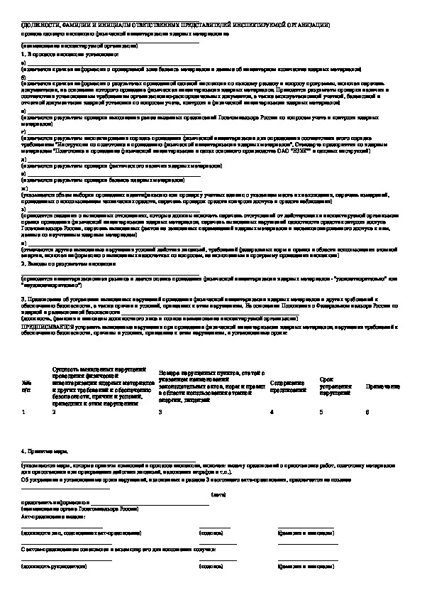
Информация отображена на картинке

Информация отображена на картинке

Информация отображена на картинке

Информация отображена на картинке


Как использовать наш сайт инструкций OnlineManuals.ru
Наша цель состоит в том, чтобы предоставить вам быстрый доступ к содержанию документа Типовая программа целевой инспекции физической инвентаризации ядерных материалов на ядерных установках по производству топлива .

Для Вашего удобства
Если листать документ прямо на сайте, не очень удобно для Вас, есть два возможных решения:

• Просмотр в полноэкранном режиме - легко просмотреть документ Типовая программа целевой инспекции физической инвентаризации ядерных материалов на ядерных установках по производству топлива (без загрузки его на свой компьютер). Вы можете использовать режим полноэкранного просмотра, используйте кнопку «Открыть в Pdf-viewer».
• Загрузка на компьютер - Вы можете также скачать Типовая программа целевой инспекции физической инвентаризации ядерных материалов на ядерных установках по производству топлива на свой компьютер и сохранить его в файлах.

Многие люди предпочитают читать документы не на экране, а в печатной версии. Возможность печати руководства пользователя также была предусмотрена на нашем сайте, и вы можете использовать ее, нажав на иконку «печать» в Pdf-viewer. Нет необходимости печатать все страницы, можно выбрать только нужные страницы документа.

Onlinemanuals.ru

Загрузить инструкцию