ГОСТ Р 51841-2001: Программируемые контроллеры. Общие технические требования и методы испытаний

Обозначение: ГОСТ Р 51841-2001
Категория: База строительной документации

1 2 3 4 5 6 ... 56
Страницы и текст этой инструкции

Программируемые контроллеры. Общие технические требования и методы испытаний

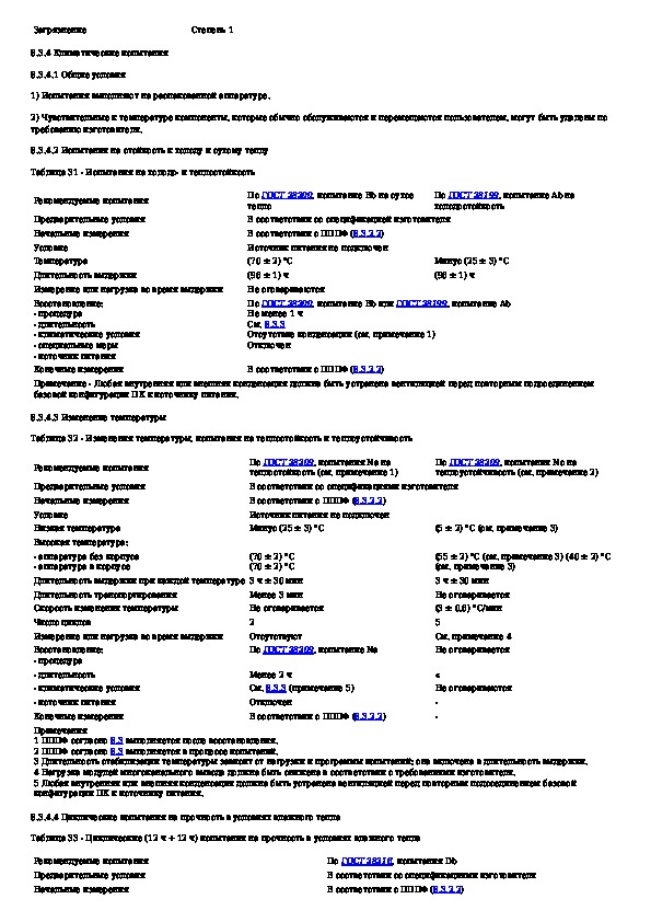
Информация отображена на картинке

Информация отображена на картинке

Информация отображена на картинке

Информация отображена на картинке


Как использовать наш сайт инструкций OnlineManuals.ru
Наша цель состоит в том, чтобы предоставить вам быстрый доступ к содержанию документа Программируемые контроллеры. Общие технические требования и методы испытаний.

Для Вашего удобства
Если листать документ прямо на сайте, не очень удобно для Вас, есть два возможных решения:

• Просмотр в полноэкранном режиме - легко просмотреть документ Программируемые контроллеры. Общие технические требования и методы испытаний (без загрузки его на свой компьютер). Вы можете использовать режим полноэкранного просмотра, используйте кнопку «Открыть в Pdf-viewer».
• Загрузка на компьютер - Вы можете также скачать Программируемые контроллеры. Общие технические требования и методы испытаний на свой компьютер и сохранить его в файлах.

Многие люди предпочитают читать документы не на экране, а в печатной версии. Возможность печати руководства пользователя также была предусмотрена на нашем сайте, и вы можете использовать ее, нажав на иконку «печать» в Pdf-viewer. Нет необходимости печатать все страницы, можно выбрать только нужные страницы документа.

Onlinemanuals.ru

Загрузить инструкцию