СТО 218.3.001-2006: Проектирование и устройство теплоизоляционных слоев из экструдированного пенополистирола "STYROFOAM" на автомобильных дорогах Росси

Обозначение: СТО 218.3.001-2006
Категория: База строительной документации

1 2 3 4 5 6 ... 37
Страницы и текст этой инструкции

Проектирование и устройство теплоизоляционных слоев из экструдированного пенополистирола "STYROFOAM" на автомобильных дорогах Росси

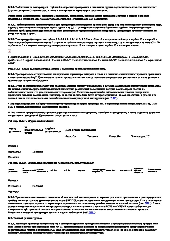
Информация отображена на картинке

Информация отображена на картинке

Информация отображена на картинке

Информация отображена на картинке


Как использовать наш сайт инструкций OnlineManuals.ru
Наша цель состоит в том, чтобы предоставить вам быстрый доступ к содержанию документа Проектирование и устройство теплоизоляционных слоев из экструдированного пенополистирола "STYROFOAM" на автомобильных дорогах Росси.

Для Вашего удобства
Если листать документ прямо на сайте, не очень удобно для Вас, есть два возможных решения:

• Просмотр в полноэкранном режиме - легко просмотреть документ Проектирование и устройство теплоизоляционных слоев из экструдированного пенополистирола "STYROFOAM" на автомобильных дорогах Росси (без загрузки его на свой компьютер). Вы можете использовать режим полноэкранного просмотра, используйте кнопку «Открыть в Pdf-viewer».
• Загрузка на компьютер - Вы можете также скачать Проектирование и устройство теплоизоляционных слоев из экструдированного пенополистирола "STYROFOAM" на автомобильных дорогах Росси на свой компьютер и сохранить его в файлах.

Многие люди предпочитают читать документы не на экране, а в печатной версии. Возможность печати руководства пользователя также была предусмотрена на нашем сайте, и вы можете использовать ее, нажав на иконку «печать» в Pdf-viewer. Нет необходимости печатать все страницы, можно выбрать только нужные страницы документа.

Onlinemanuals.ru

Загрузить инструкцию