ОДМ 218.4.001-2008: Методические рекомендации по организации обследования и испытания мостовых сооружений на автомобильных дорогах

Обозначение: ОДМ 218.4.001-2008
Категория: База строительной документации

1 2 3 4 5 6 ... 36
Страницы и текст этой инструкции

Методические рекомендации по организации обследования и испытания мостовых сооружений на автомобильных дорогах

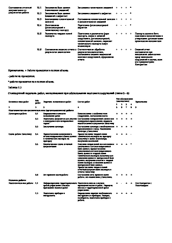
Информация отображена на картинке

Информация отображена на картинке

Информация отображена на картинке

Информация отображена на картинке


Как использовать наш сайт инструкций OnlineManuals.ru
Наша цель состоит в том, чтобы предоставить вам быстрый доступ к содержанию документа Методические рекомендации по организации обследования и испытания мостовых сооружений на автомобильных дорогах.

Для Вашего удобства
Если листать документ прямо на сайте, не очень удобно для Вас, есть два возможных решения:

• Просмотр в полноэкранном режиме - легко просмотреть документ Методические рекомендации по организации обследования и испытания мостовых сооружений на автомобильных дорогах (без загрузки его на свой компьютер). Вы можете использовать режим полноэкранного просмотра, используйте кнопку «Открыть в Pdf-viewer».
• Загрузка на компьютер - Вы можете также скачать Методические рекомендации по организации обследования и испытания мостовых сооружений на автомобильных дорогах на свой компьютер и сохранить его в файлах.

Многие люди предпочитают читать документы не на экране, а в печатной версии. Возможность печати руководства пользователя также была предусмотрена на нашем сайте, и вы можете использовать ее, нажав на иконку «печать» в Pdf-viewer. Нет необходимости печатать все страницы, можно выбрать только нужные страницы документа.

Onlinemanuals.ru

Загрузить инструкцию