Инструкция факса Panasonic UF-5100

Инструкции по эксплуатации бытовой техники и электроники > Panasonic

Перед Вами Инструкция факса Panasonic UF-5100. Вы можете ознакомиться и скачать данное руководство по эксплуатации бесплатно. Инструкция по применению на русском языке, предложенная производителем, позволяет правильно использовать Вашу бытовую технику и электронику.

1 2 3 4 5 6 ... 160
Смотрите также другие инструкции из раздела Panasonic

Страницы и текст этой инструкции

Инструкция факса Panasonic UF-5100

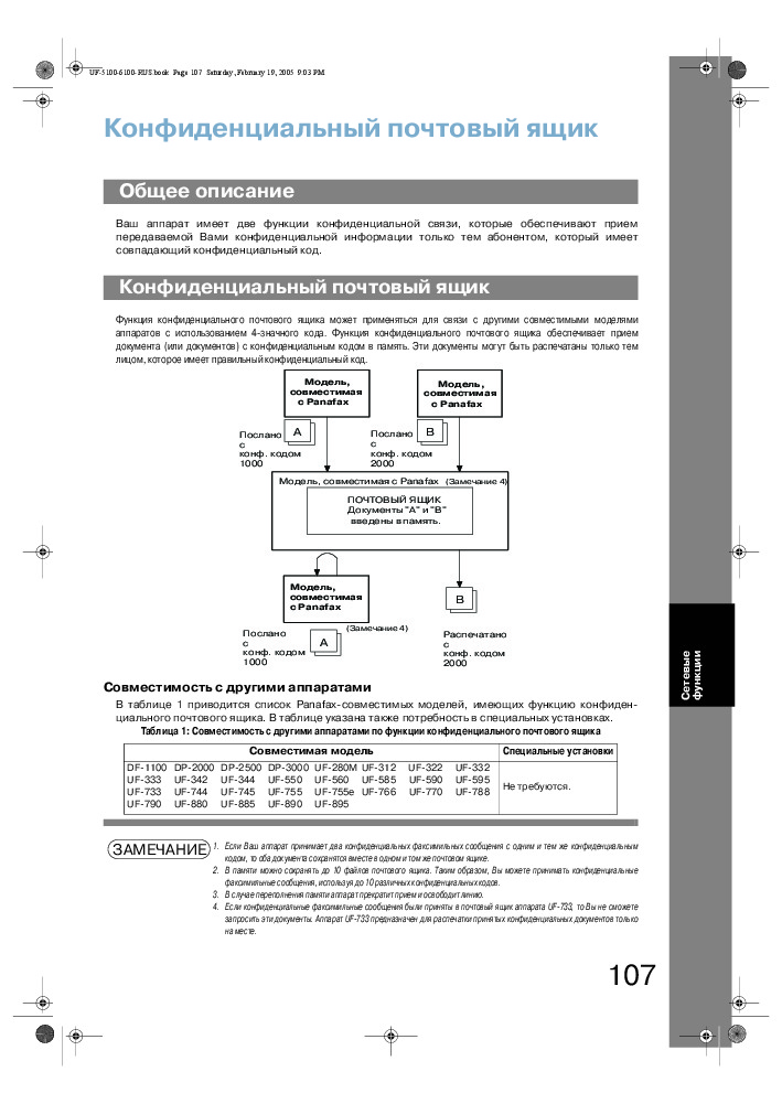
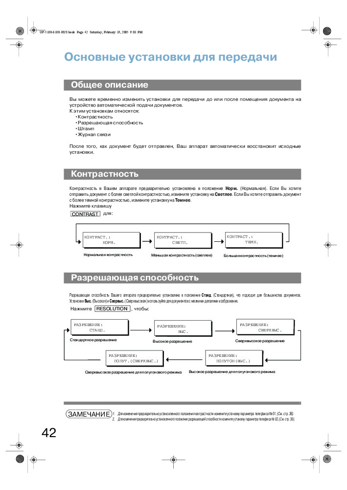
Информация отображена на картинке

Информация отображена на картинке

Информация отображена на картинке

Информация отображена на картинке


Как использовать наш сайт инструкций OnlineManuals.ru
Наша цель состоит в том, чтобы предоставить вам быстрый доступ к содержанию инструкции для факса Panasonic UF-5100. С помощью онлайн просмотра, Вы можете быстро просмотреть содержимое инструкции и найти решение проблемы с факса Panasonic UF-5100.

Для Вашего удобства
Если листать руководство пользователя факса Panasonic UF-5100 прямо на сайте, не очень удобно для Вас, есть два возможных решения:

• Просмотр в полноэкранном режиме - легко просмотреть руководство пользователя (без загрузки его на свой компьютер), Вы можете использовать режим полноэкранного просмотра. Для просмотра инструкции пользователя факса Panasonic UF-5100 на полном экране, используйте кнопку «Открыть в Pdf-viewer».
• Загрузка на компьютер - Вы можете также скачать Инструкция факса Panasonic UF-5100 на свой компьютер и сохранить его в файлах.

Многие люди предпочитают читать документы не на экране, а в печатной версии. Возможность печати руководства пользователя также была предусмотрена на нашем сайте, и вы можете использовать ее, нажав на иконку «печать» в Pdf-viewer. Нет необходимости печатать все руководство факса Panasonic UF-5100, можно выбрать только нужные страницы инструкции.

Onlinemanuals.ru

Загрузить инструкцию