ГОСТ 26793-85: Компоненты волоконно-оптических систем передачи. Система условных обозначений

Обозначение: ГОСТ 26793-85
Категория: База строительной документации

Страницы и текст этой инструкции

Компоненты волоконно-оптических систем передачи. Система условных обозначений

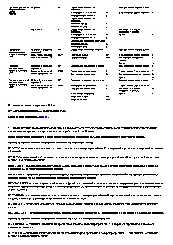
Информация отображена на картинке

Информация отображена на картинке

Информация отображена на картинке

Информация отображена на картинке


Как использовать наш сайт инструкций OnlineManuals.ru
Наша цель состоит в том, чтобы предоставить вам быстрый доступ к содержанию документа Компоненты волоконно-оптических систем передачи. Система условных обозначений.

Для Вашего удобства
Если листать документ прямо на сайте, не очень удобно для Вас, есть два возможных решения:

• Просмотр в полноэкранном режиме - легко просмотреть документ Компоненты волоконно-оптических систем передачи. Система условных обозначений (без загрузки его на свой компьютер). Вы можете использовать режим полноэкранного просмотра, используйте кнопку «Открыть в Pdf-viewer».
• Загрузка на компьютер - Вы можете также скачать Компоненты волоконно-оптических систем передачи. Система условных обозначений на свой компьютер и сохранить его в файлах.

Многие люди предпочитают читать документы не на экране, а в печатной версии. Возможность печати руководства пользователя также была предусмотрена на нашем сайте, и вы можете использовать ее, нажав на иконку «печать» в Pdf-viewer. Нет необходимости печатать все страницы, можно выбрать только нужные страницы документа.

Onlinemanuals.ru

Загрузить инструкцию