К-1-18-4: Типовая технологическая карта. Разбивка котлованов для фундаментов унифицированных промежуточных стальных опор на оттяжках типо

Обозначение: К-1-18-4
Категория: База строительной документации

Страницы и текст этой инструкции

Типовая технологическая карта. Разбивка котлованов для фундаментов унифицированных промежуточных стальных опор на оттяжках типо

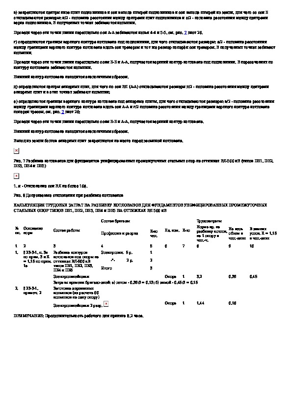
Информация отображена на картинке

Информация отображена на картинке


Как использовать наш сайт инструкций OnlineManuals.ru
Наша цель состоит в том, чтобы предоставить вам быстрый доступ к содержанию документа Типовая технологическая карта. Разбивка котлованов для фундаментов унифицированных промежуточных стальных опор на оттяжках типо.

Для Вашего удобства
Если листать документ прямо на сайте, не очень удобно для Вас, есть два возможных решения:

• Просмотр в полноэкранном режиме - легко просмотреть документ Типовая технологическая карта. Разбивка котлованов для фундаментов унифицированных промежуточных стальных опор на оттяжках типо (без загрузки его на свой компьютер). Вы можете использовать режим полноэкранного просмотра, используйте кнопку «Открыть в Pdf-viewer».
• Загрузка на компьютер - Вы можете также скачать Типовая технологическая карта. Разбивка котлованов для фундаментов унифицированных промежуточных стальных опор на оттяжках типо на свой компьютер и сохранить его в файлах.

Многие люди предпочитают читать документы не на экране, а в печатной версии. Возможность печати руководства пользователя также была предусмотрена на нашем сайте, и вы можете использовать ее, нажав на иконку «печать» в Pdf-viewer. Нет необходимости печатать все страницы, можно выбрать только нужные страницы документа.

Onlinemanuals.ru

Загрузить инструкцию