ВНТП 10М-93: Ведомственные нормы технологического проектирования предприятий малой мощности пивоваренной промышленности

Обозначение: ВНТП 10М-93
Категория: База строительной документации

1 2 3 4 5 6 ... 33
Страницы и текст этой инструкции

Ведомственные нормы технологического проектирования предприятий малой мощности пивоваренной промышленности

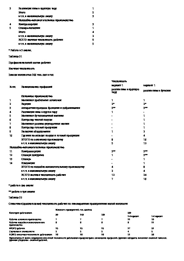
Информация отображена на картинке

Информация отображена на картинке

Информация отображена на картинке

Информация отображена на картинке


Как использовать наш сайт инструкций OnlineManuals.ru
Наша цель состоит в том, чтобы предоставить вам быстрый доступ к содержанию документа Ведомственные нормы технологического проектирования предприятий малой мощности пивоваренной промышленности.

Для Вашего удобства
Если листать документ прямо на сайте, не очень удобно для Вас, есть два возможных решения:

• Просмотр в полноэкранном режиме - легко просмотреть документ Ведомственные нормы технологического проектирования предприятий малой мощности пивоваренной промышленности (без загрузки его на свой компьютер). Вы можете использовать режим полноэкранного просмотра, используйте кнопку «Открыть в Pdf-viewer».
• Загрузка на компьютер - Вы можете также скачать Ведомственные нормы технологического проектирования предприятий малой мощности пивоваренной промышленности на свой компьютер и сохранить его в файлах.

Многие люди предпочитают читать документы не на экране, а в печатной версии. Возможность печати руководства пользователя также была предусмотрена на нашем сайте, и вы можете использовать ее, нажав на иконку «печать» в Pdf-viewer. Нет необходимости печатать все страницы, можно выбрать только нужные страницы документа.

Onlinemanuals.ru

Загрузить инструкцию