СО 08-04-АКТНП-009-2004: Табель технического оснащения аварийно-восстановительных пунктов магистральных нефтепродуктопроводов ОАО "АК "Транснефтепродук

Обозначение: СО 08-04-АКТНП-009-2004
Категория: База строительной документации

1 2 3 4 5 6 ... 17
Страницы и текст этой инструкции

Табель технического оснащения аварийно-восстановительных пунктов магистральных нефтепродуктопроводов ОАО "АК "Транснефтепродук

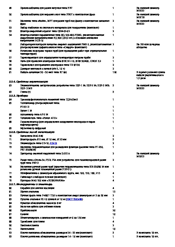
Информация отображена на картинке

Информация отображена на картинке

Информация отображена на картинке

Информация отображена на картинке


Как использовать наш сайт инструкций OnlineManuals.ru
Наша цель состоит в том, чтобы предоставить вам быстрый доступ к содержанию документа Табель технического оснащения аварийно-восстановительных пунктов магистральных нефтепродуктопроводов ОАО "АК "Транснефтепродук.

Для Вашего удобства
Если листать документ прямо на сайте, не очень удобно для Вас, есть два возможных решения:

• Просмотр в полноэкранном режиме - легко просмотреть документ Табель технического оснащения аварийно-восстановительных пунктов магистральных нефтепродуктопроводов ОАО "АК "Транснефтепродук (без загрузки его на свой компьютер). Вы можете использовать режим полноэкранного просмотра, используйте кнопку «Открыть в Pdf-viewer».
• Загрузка на компьютер - Вы можете также скачать Табель технического оснащения аварийно-восстановительных пунктов магистральных нефтепродуктопроводов ОАО "АК "Транснефтепродук на свой компьютер и сохранить его в файлах.

Многие люди предпочитают читать документы не на экране, а в печатной версии. Возможность печати руководства пользователя также была предусмотрена на нашем сайте, и вы можете использовать ее, нажав на иконку «печать» в Pdf-viewer. Нет необходимости печатать все страницы, можно выбрать только нужные страницы документа.

Onlinemanuals.ru

Загрузить инструкцию