РБ 043-08: Состав и содержание годового отчета о ядерной и радиационной безопасности объектов ядерного топливного цикла

Обозначение: РБ 043-08
Категория: База строительной документации

1 2 3 4 5 6 ... 8
Страницы и текст этой инструкции

Состав и содержание годового отчета о ядерной и радиационной безопасности объектов ядерного топливного цикла

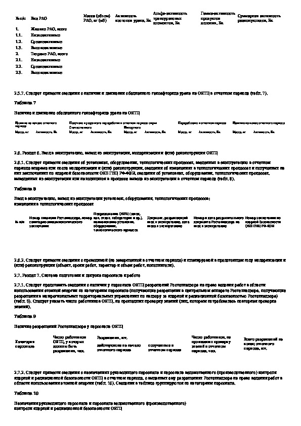
Информация отображена на картинке

Информация отображена на картинке

Информация отображена на картинке

Информация отображена на картинке


Как использовать наш сайт инструкций OnlineManuals.ru
Наша цель состоит в том, чтобы предоставить вам быстрый доступ к содержанию документа Состав и содержание годового отчета о ядерной и радиационной безопасности объектов ядерного топливного цикла.

Для Вашего удобства
Если листать документ прямо на сайте, не очень удобно для Вас, есть два возможных решения:

• Просмотр в полноэкранном режиме - легко просмотреть документ Состав и содержание годового отчета о ядерной и радиационной безопасности объектов ядерного топливного цикла (без загрузки его на свой компьютер). Вы можете использовать режим полноэкранного просмотра, используйте кнопку «Открыть в Pdf-viewer».
• Загрузка на компьютер - Вы можете также скачать Состав и содержание годового отчета о ядерной и радиационной безопасности объектов ядерного топливного цикла на свой компьютер и сохранить его в файлах.

Многие люди предпочитают читать документы не на экране, а в печатной версии. Возможность печати руководства пользователя также была предусмотрена на нашем сайте, и вы можете использовать ее, нажав на иконку «печать» в Pdf-viewer. Нет необходимости печатать все страницы, можно выбрать только нужные страницы документа.

Onlinemanuals.ru

Загрузить инструкцию