Инструкция по борьбе с зимней скользкостью на автомобильных дорогах
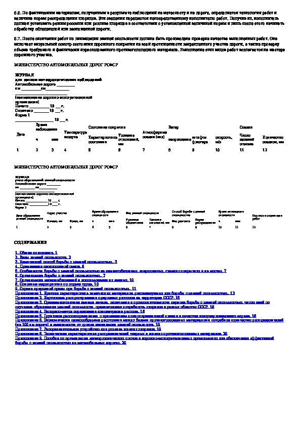
Информация отображена на картинке
Информация отображена на картинке
Информация отображена на картинке
Информация отображена на картинке
Как использовать наш сайт инструкций OnlineManuals.ru
Наша цель состоит в том, чтобы предоставить вам быстрый доступ к содержанию документа Инструкция по борьбе с зимней скользкостью на автомобильных дорогах.
Для Вашего удобства
Если листать документ прямо на сайте, не очень удобно для Вас, есть два возможных решения:
• Просмотр в полноэкранном режиме - легко просмотреть документ Инструкция по борьбе с зимней скользкостью на автомобильных дорогах (без загрузки его на свой компьютер).
Вы можете использовать режим полноэкранного просмотра, используйте кнопку «Открыть в Pdf-viewer».
• Загрузка на компьютер - Вы можете также скачать Инструкция по борьбе с зимней скользкостью на автомобильных дорогах на свой компьютер и сохранить его в файлах.
Многие люди предпочитают читать документы не на экране, а в печатной версии.
Возможность печати руководства пользователя также была предусмотрена на нашем сайте,
и вы можете использовать ее, нажав на иконку «печать» в Pdf-viewer.
Нет необходимости печатать все страницы, можно выбрать только нужные страницы документа.