СТ СЭВ 4867-84: Защита от шума в строительстве. Звукоизоляция ограждающих конструкций. Нормы

Обозначение: СТ СЭВ 4867-84
Категория: База строительной документации

1 2 3 4 5 6 ... 7
Страницы и текст этой инструкции

Защита от шума в строительстве. Звукоизоляция ограждающих конструкций. Нормы

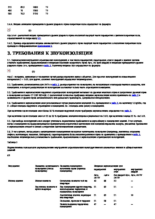
Информация отображена на картинке

Информация отображена на картинке

Информация отображена на картинке

Информация отображена на картинке


Как использовать наш сайт инструкций OnlineManuals.ru
Наша цель состоит в том, чтобы предоставить вам быстрый доступ к содержанию документа Защита от шума в строительстве. Звукоизоляция ограждающих конструкций. Нормы.

Для Вашего удобства
Если листать документ прямо на сайте, не очень удобно для Вас, есть два возможных решения:

• Просмотр в полноэкранном режиме - легко просмотреть документ Защита от шума в строительстве. Звукоизоляция ограждающих конструкций. Нормы (без загрузки его на свой компьютер). Вы можете использовать режим полноэкранного просмотра, используйте кнопку «Открыть в Pdf-viewer».
• Загрузка на компьютер - Вы можете также скачать Защита от шума в строительстве. Звукоизоляция ограждающих конструкций. Нормы на свой компьютер и сохранить его в файлах.

Многие люди предпочитают читать документы не на экране, а в печатной версии. Возможность печати руководства пользователя также была предусмотрена на нашем сайте, и вы можете использовать ее, нажав на иконку «печать» в Pdf-viewer. Нет необходимости печатать все страницы, можно выбрать только нужные страницы документа.

Onlinemanuals.ru

Загрузить инструкцию