МДС 81-1.99: Методические указания по определению стоимости строительной продукции на территории Российской Федерации

Обозначение: МДС 81-1.99
Категория: Каталог снипов

1 2 3 4 5 6 ... 42
Страницы и текст этой инструкции

Методические указания по определению стоимости строительной продукции на территории Российской Федерации

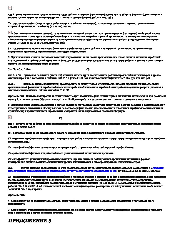
Информация отображена на картинке

Информация отображена на картинке

Информация отображена на картинке

Информация отображена на картинке


Как использовать наш сайт инструкций OnlineManuals.ru
Наша цель состоит в том, чтобы предоставить вам быстрый доступ к содержанию документа Методические указания по определению стоимости строительной продукции на территории Российской Федерации.

Для Вашего удобства
Если листать документ прямо на сайте, не очень удобно для Вас, есть два возможных решения:

• Просмотр в полноэкранном режиме - легко просмотреть документ Методические указания по определению стоимости строительной продукции на территории Российской Федерации (без загрузки его на свой компьютер). Вы можете использовать режим полноэкранного просмотра, используйте кнопку «Открыть в Pdf-viewer».
• Загрузка на компьютер - Вы можете также скачать Методические указания по определению стоимости строительной продукции на территории Российской Федерации на свой компьютер и сохранить его в файлах.

Многие люди предпочитают читать документы не на экране, а в печатной версии. Возможность печати руководства пользователя также была предусмотрена на нашем сайте, и вы можете использовать ее, нажав на иконку «печать» в Pdf-viewer. Нет необходимости печатать все страницы, можно выбрать только нужные страницы документа.

Onlinemanuals.ru

Загрузить инструкцию