ВРД 39-1.10-004-99: Методические рекомендации по количественной оценке состояния магистральных газопроводов с коррозионными дефектами, их ранжиров

Обозначение: ВРД 39-1.10-004-99
Категория: Каталог снипов

1 2 3 4 5 6 ... 21
Страницы и текст этой инструкции

Методические рекомендации по количественной оценке состояния магистральных газопроводов с коррозионными дефектами, их ранжиров

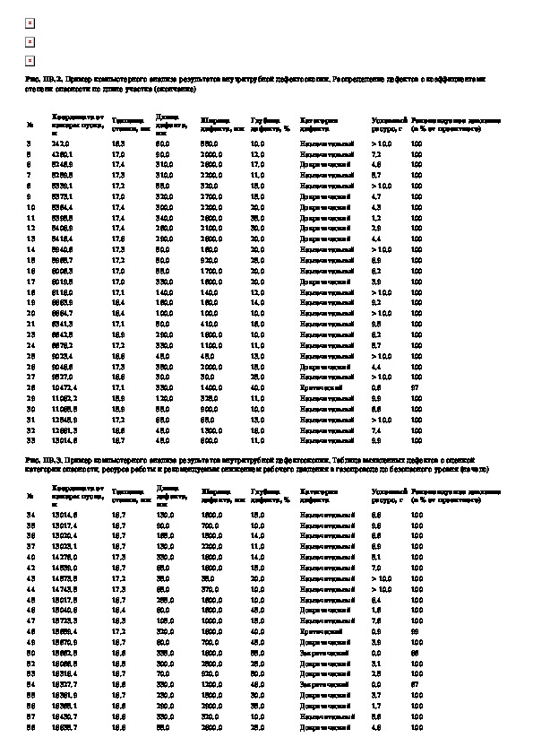
Информация отображена на картинке

Информация отображена на картинке

Информация отображена на картинке

Информация отображена на картинке


Как использовать наш сайт инструкций OnlineManuals.ru
Наша цель состоит в том, чтобы предоставить вам быстрый доступ к содержанию документа Методические рекомендации по количественной оценке состояния магистральных газопроводов с коррозионными дефектами, их ранжиров.

Для Вашего удобства
Если листать документ прямо на сайте, не очень удобно для Вас, есть два возможных решения:

• Просмотр в полноэкранном режиме - легко просмотреть документ Методические рекомендации по количественной оценке состояния магистральных газопроводов с коррозионными дефектами, их ранжиров (без загрузки его на свой компьютер). Вы можете использовать режим полноэкранного просмотра, используйте кнопку «Открыть в Pdf-viewer».
• Загрузка на компьютер - Вы можете также скачать Методические рекомендации по количественной оценке состояния магистральных газопроводов с коррозионными дефектами, их ранжиров на свой компьютер и сохранить его в файлах.

Многие люди предпочитают читать документы не на экране, а в печатной версии. Возможность печати руководства пользователя также была предусмотрена на нашем сайте, и вы можете использовать ее, нажав на иконку «печать» в Pdf-viewer. Нет необходимости печатать все страницы, можно выбрать только нужные страницы документа.

Onlinemanuals.ru

Загрузить инструкцию